電磁流量計作為一種高性能液體流量計量儀表,具有測量精度高、量程寬、無壓損和適合于大口徑計量等**優勢,其測量不受流體的密度、粘度、溫度、壓力以及一定范圍內的電導率變化的影響,測量介質可以是粘性介質、漿液、懸浮液甚至多相流。經過近一個世紀的發展,目前電磁流量計產品的計量精度已達到±05%甚至更高,口徑范圍由3mm到4000mm2,其中直徑1m以上的大口徑電磁流量計產品通常是高性能大口徑液體流量計產品的佳選。在水利工程、市政建設和環境保護等領域中,這樣的大口徑電磁流量計具有很**的應用。
目前,電磁流量計普遍采用實流標定,標定精度一般為±0.2%。該標定方法的ZUI大優點為可通過調整儀表內部設定系數來修正由于制造一致性差而引入的誤差,從而降低對產品制造一致性的要求,因此被絕大多數電磁流量計廠家采用。但實流標定存在兩個缺陷:①大口徑流量計實流標定裝置制造價格昂貴,標定成本高。如:實流標定1.2m口徑的儀表,需要250kW的水泵連續提供約15ts的流量,標定時間約2~4h,標定裝置造價約300萬英鎊3。②實流標定裝置所產生的流場通常為理想流場,而多數工業現場工況復雜,流量計上、下游直管段長度往往難以達到要求,從而使流量計的實際使用誤差遠遠大于實流標定裝置上所測出的誤差。正因如此,許多科學家熱衷于研究權重磁場分布的電磁流量計,以期實現流速分布對測量精度的影響為零。此外,現有實流標定裝置的測量介質大多為水,因此很難利用現有的實流標定裝置對多相流、漿液、粘性介質等非常規介質進行標定,在這類實流標定裝置上進行模擬各種現場工況的流體運動學和動力學特性研究也十分困難基于以上原因,流量計干標定技術作為一種無需實際流體便可實現流量計標定的技術,一直被業界所推崇。超聲波流量計、差壓式流量計、渦街流量計、電磁流量計因其測量原理可追溯性好,被認為是四種*適合干標定的流量計。但因干標定技術對相應流量計產品的一致性要求較高,只有少數發達工業國家開展了相應研究。目前,某國已成功實現渦街流量計干標定技術的工業化應用,并建立了相應的工業標準《渦流流量計**量測定方法》。在電磁流量計領域,英國、俄羅斯兩國的產品一致性較好,因此其干標定方法研究也較為**,其中俄羅斯已成功實現電磁流量計干標定技術的工業化應用。我國在渦街流量計干標定技術上做過探索重慶工業自動化儀表研究所于1990年發布了《渦街流量計干標定研究工作報告》向,是我國在此領域取得的寶貴成果。改革開放以來,我國的電磁流量計產業得到了很好的發展,電磁流量計廠家已從20世紀80年代的4家發展到目前的30多家2,電磁流量計技術水平已接近發達國家,制造水平的提高使不少廠家的產品一致性得到了本質性的改善。因此,開展電磁流量計干標定技術推廣與應用的時機已經成熟。
本文通過分析電磁流量計的測量原理,闡明電磁流量計干標定的原理及困擾其實現工業化應用的關鍵技術,分析解決這一關鍵技術的有效途徑及基于這一思想的兩種實現方法。
1.電磁流量計干標定原理及關鍵技術
1.1電磁流量計測量原理
電磁流量計測量原理如圖1所示,管道內流動的導電液體切割磁力線,將在兩端電極間產生電勢差ΔU,ΔU與磁通量密度B、液體流速ν符合弗來明右手定則。只要管道內部流場理想、磁場穩定,△U的大小與管道內介質平均流速成嚴格的線性關系,從而通過測量ΔU的大小可確定管道內介質流量。
電磁流量計由一次傳感器及二次儀表組成,二次儀表為一次傳感器提供勵磁電流,以通過一次傳感器內的勵磁線圈建立測量所需的磁場。一次傳感器將介質實際流量轉換為電極間電勢差,由二次儀表將電極間電勢差轉換為顯示流量。
2.干標定有效途徑及兩種實現方法
為了準確地獲取有效區域內各點磁場信息,逐點測量的方式顯然行不通。目前解決此關鍵技術的有效方法為:利用電磁流量計磁場的交變特性,通過測量電磁感應所產生的其他物理量間接獲取電磁流量計有效區域內的磁場信息。這樣,無需直接測取電磁流量計內部磁場,甚至無需求解體權重函數W便可實現電磁流量計的干標定。英國HEMP,提出的渦電場測量法與俄羅斯VELT71提出的面權重函數法正是基于這種思想:前者通過檢測由磁場交變產生的渦電場強度獲取磁場信息,實現電磁流量計一次傳感器轉換系數的測量,無需測量有效區域內各點磁通量密度B與體權重函數W;后者利用按面權重函數等值線繞制的感應線圈與電磁流量計勵磁線圈的互感效應獲取磁場信息,實現電磁流量計一次傳感器轉換系數的測量,無需測量有效區域內各點磁通量密度。
2.1渦電場測量法
2.1.1測量原理
渦電場法的理論基礎為:電磁流量計測量過程中,交變的磁場將伴隨產生渦電場,該電場不受流速分布的影響,通過測量電磁流量計電極所在位置渦電場強度測取一次傳感器轉換系數。當一次傳感器管段內速度分布平坦時,對于正弦信號勵磁磁場的一次傳感器,有效區域內任意點的速度v、電勢U以及渦電場強度在管段軸向方向的分量Ez具有如式,所示關系,對于矩形脈沖信號勵磁磁場則如式所示向
由于目前電磁流量計普遍采用矩形脈沖信號勵磁,本文只針對矩形脈沖信號勵磁磁場展開討論。基于以上理論,若將電磁流量計一次傳感器如圖2所示豎立放置,管段內充滿被測介質(例如水),磁場交變時水中也將產生一個渦電場
若在流量計兩電極處各放入一個傳感器,每個傳感器由絕緣襯底及一對電極組成,每對電極間距離為δ,則傳感器電極間將產生電勢差E1、E2,如式)、(8)所示1 aUE1=E6=-6E2=EnsaU,式中U1,U2傳感器所在位置,即流量計電極所在位置的電勢Ez1,E2傳感器所在位置,即流量計電極所在位置的渦電場強度磁通量密度B、流量計電極間電勢差△U及渦電場傳感器電極間電壓E1、E2的信號示意圖如圖3所示
為了去除低頻噪聲信號的影響,二次儀表常測取(△U1-△U2)(△U2△U3)轉換為顯示流量,而非簡單地測取(△U1-△U2)或△U1,因此一次傳感器的轉換系數Kp如式所示
kn=(△U1-△U2)-(△U2-△U3)(9)D-y
式中△Uh1正半周期上測量時刻為t1時,流量計電極間電勢差
△U2負半周期上測量時刻為t2時,流量計電極間電勢差
△U3正半周期上測量時刻為t3時,流量計電極間電勢差
ν—介質平坦流速
D—測量管段內徑
(10)
聯立式(7)~(9)便可得到由渦電場傳感器電極間輸出電壓E1、E2獲得的電磁流量計一次傳感器轉換系數Kp1的計算式,如式(10)
從式(10)不難發現,只要測取測量管段內徑并對傳感器引出的電壓信號進行積分便可得到一次傳感器的轉換系數,從而實現電磁流量計一次傳感器的干標定。
2.1.2技術特點
渦電場檢測法可在無需求解復雜的體權重函數,且無需逐點檢測有效區域內各點磁通量密度的情況下,實現電磁流量計一次傳感器的干標定。需測量參數相對較少,主要誤差源為:①由于傳感器電極間距離δ無法做到無窮小,而渦電場強度在管段軸方面的分量Ez沿著管段軸方向并非處處相等,因此將引入誤差。②傳感器電極本身的軸向寬度將增加電極間距離δ的不確定性,加大δ所引入的誤差。③傳感器厚度引入的誤差。④傳感器電極及引線等構成回路引入噪聲磁通而帶來的誤差。根據HEMP的理論計算,對以上誤差源進行理論修正后,此方法的基本誤差可做到小于±0,2%,符合干標定的精度要求。
此方法理論模型基于一次傳感器管段內速度分布平坦的假設,而無法對非理想流場情況下的一次傳感器精度進行檢測。但在實流標定裝置中,由于有上、下游直管段的保證,一次傳感器管段內的流場為完全發展,速度分布趨于平坦,大口徑電磁流量計在理想狀態下的速度分布更是如此。因此此方法可避免實流標定裝置的高成本,降低大口徑電磁流量計的標定成本,但無法克服實流標定的第二個缺點。此外,在標定對象為小口徑電磁流量計時,由于傳感器及其電極尺寸的限制,測量精度將難以保證,因此此方法只適用于較大口徑電磁流量計。
2.2面權重函數法
2.2.1測量原理
面權重函數法的理論基礎是:按照電磁流量計一次傳感器有效區域內的某一表面磁場的分布特性來恢復整個有效區域內空間磁場的特性因電磁流量計的測量通道內除勵磁線圈產生的磁場外沒有其他外界磁場源,因此磁場可由標量磁勢來描述,可用通道表面上的標量磁位勢單值地確定整個有效區域內的標量磁位勢。在半徑為r的通道內定義圓柱坐標系如下:一次傳感器通道中心軸為z坐標,半徑方向為p坐標,以電極所在位置為起點逆時針方向為6坐標,電極所在位置坐標為(z=0;p=r;0=±丌)相應地,電極間電勢差△U可用式來表示
式中Ln—Bee函數
L -Bessel函數導數
G—Gren函數
v2—流速ν在z坐標方向上的分量
流速ν在p坐標方向上的分量
ve—流速ν在θ坐標方向上的分量
從式(12)不難看出,面權重函數W(z,0)除了與體權重函數一樣由幾何位置、管道結構、電極距離與尺寸決定外,還包含了各點的流速分布信息。我國從俄羅斯引進的“ POTOK”裝置中,Wn(z,O)被用于按其等值線繞制線圈作為一次傳感器干標定所用的MFC傳感器。按照其操作手冊,測量時以電極所在位置為參考點,將MFC傳感器對稱地放入通道中,如圖4所示。
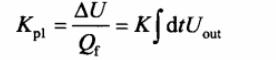
由于流量計勵磁線圈與MFC傳感器中線圈的互感作用,流量計磁場交變時,MFC傳感器將有電壓信號輸出,如圖5所示

圖5中MFC傳感器輸出信號Uou與一次傳感器轉換系數存在如下關系
式中K—修正系數,式(14)中的積分運算由輔助電路完成,修正系數K可通過干濕標定對比試驗獲得,即以N(具體數值由產品一致性決定)臺已經過實流標定的一次傳感器為樣本進行干標定,通過實流標定數據與干標定數據的對比,獲取干標定所需K的確切值。經過對比試驗修正后的干標定裝置可用于對與樣本同口徑的其他一次傳感器進行干標定。
3.結論
相對于目前普遍應用的實流標定技術,干標定技術在降低成本、模擬不同流場和介質方面具有獨特的優勢,工業化應用前景廣闊。如何準確地獲取有效區域內各點磁場信息是干標定技術實現工業化應用的關鍵所在。利用電磁流量計磁場的交變特性,測量電磁感應所產生的其他物理量間接獲取電磁流量計有效區域內磁場信息,是實現干標定的有效方法,在此基礎上,分析了基于這一方法的渦電場測量法與面權重函數法的測量原理、特點及實現方法。分析表明,渦電場測量法無需求解復雜的體權重函數和逐點檢測有效區域內各點的磁通量密度,但它只能模擬速度分布平坦的流場情況,無法對非理想流場情況下的電磁流量計進行標定;面權重函數法可避免逐點檢測有效區域內各點的磁通量密度,能實現各種流場環境的模擬,克服了實流標定的兩大缺點,但需要用干濕標定對比試驗進行修正,對比試驗工作量較大。
上一條:
淺析針對非滿管污水流量計的研究及應用前景
下一條:
弧狀電極電磁流量計測量系統設計